-
Span머신러닝(MACHINE LEARNING)/간단하게 이론(Theory...) 2021. 5. 1. 11:32반응형
1. 정의
In mathematics, the linear span (also called the linear hull or just span) of a set S of vectors (from a vector space), denoted span(S), is the smallest linear subspace that contains the set. It can be characterized either as the intersection of all linear subspaces that contain S, or as the set of linear combinations of elements of S. The linear span of a set of vectors is therefore a vector space. Spans can be generalized to matroids and modules.
[Linear span - Wikipedia]- 선형대수에서 Span 이란, 가장 작은 v1,v2,v3, ...vn(단 v1,v2,v3 ... Vn은 선형변환으로 표현되어지면 안된다)을 이용하여, 만든 선형 공간을 의미한다. 즉, 쉽게 말하기 전에 예시를 보면 바로 단숨에 이해가 갈 것이다.

요런 행렬이 있다고 가정했을 시, 벡터 관점으로 바라본 우리의 행렬 선형방정식은

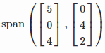
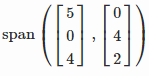
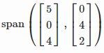
이렇게 표현이 될 수 있고, 이렇게 표현된 방정식은 공간상에서 이렇게 [5,0,4] 의 벡터와 [0,4,2]의 벡터로 표현될 수 있게 된다.

자 그러면 여기서 이제 Span이 무엇이냐 했을때, Span 은 여기서 이 벡터들이 가르키는 선형결합(Linear Comb.)의 결과이다. 그림으로 표현하면 다음과 같다.

따라서 3차원 벡터 방정식으로 표현된 우리의 공간이 이렇게 Span 상으로는 [5,0,4] 벡터와 [0,4,2벡터로 이루어진 2차원을 나타내게 된다.
2. 기하학적 의미의 Span
다음으로 기하학적 의미의 Span 을 알아보자. 다음과 같은 [V1 , V2] 로 이루어진 행렬이 있다고 한다면, V1,V2 는 3차원 공간에서의 벡터 그리고 -(c1,c2)는 상수배를 의미한다.

그렇다면 이 벡터 조합들이 c1=2, c3=3 인 꼴의 선형결합을 하게 된다면, Span 위에서 다음과 같이 solution x가 위치를 할 수 있게 되므로, 선형결합으로 표현된 공간 Span 내에서 우리는 해답(solution )을 얻을 수 있다는 말이다.

- 알아가야 할 점:
- 사용하는 벡터들에 따라서 모든 공간을 Span이 다 채울 수 도 있고 못 채울 수도 있다.( 첫번째 예시 및 두번째 예시와 같은 경우 3차원 공간에서 2차원을 Span 으로 가짐.)
- Span 은 한마디로, 벡터들의 모든 공간 에서 가능한 선형결합으로 표현된 결과로 이해 할 수 있다.
- (생략) 만약 같은 상수배의 벡터가 존재한다면, 그것은 Span 내에서 독립적인 벡터가 아니므로, Span 을 정의할 때는 독립적인 vector 들만이 사용된다.
반응형'머신러닝(MACHINE LEARNING) > 간단하게 이론(Theory...)' 카테고리의 다른 글
[Keras] Categorical_crossentrophy와 Sparse_categorical_crossentrophy (0) 2021.05.08 LU분해(LU_Decomposition)란 (0) 2021.04.29 행사다리꼴 행렬(echelon form matrix)이란 (0) 2021.04.29 가우스 소거법 (Gauss_Elimination) (0) 2021.04.28 ID3 모델 구현_Python(2)_전체모델 (0) 2021.04.26