-
정규 분포 (Gaussian Distribution)머신러닝(MACHINE LEARNING)/통계(Statistics) 2021. 6. 8. 17:26반응형
0. 서론
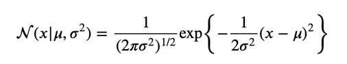
- 정규분포는 18세기 후반 과 19세기 초반의 위대한 독일의 수학자 카를 프리드리히 가우스이 이름을 따 가우스 분포 Gaussinan_Distribution 이라고도 불리는데, 다음과 같은 공식을 따른다.

1. 단일 변수의 가우시안 정규 분포 1. 공식

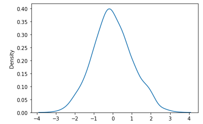
1. 단일 변수의 가우시안 정규 분포 가우시안 정규분포를 그려보게 되면 다음과 같은 형태를 띄게 된다.
from numpy import random import seaborn as sns sns.distplot(random.normal(size=1000), hist=False) plt.show()
2. 정규분포의 정규화(Normalized) 확인
- 정규분포가 정규화 즉, 다음을 만족시키는지 확인해보자.

- 제일 간단한 형태부터 시작하기 위해서 \( u = 0 \), 즉 평균은 0일 때부터 확인해보자.
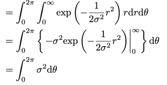
- \( u = 0\) 을 만족시킬때, 정규분포의 형태는 \( I = \int_{-\infty}^{\infty} exp(-\frac{1}{2\sigma^2} x^2) dx\) 이 되게 되고, 이를 풀어주기 위해서 \( I = \int_{-\infty}^{\infty} exp(-\frac{1}{2\sigma^2} x^2) dy\) 의 적분을 한 번 더 씌워주게 되면,
- \( I^2 = \int_{-\infty}^{\infty} \int_{-\infty}^{\infty} \exp(-\frac{1}{2\sigma^2}(x^2+y^2)) dx dy\) 가 되게 되고, 여기서 \( x^2 + y^2 = r^2 \) 으로 치환해주면,
- 다음과 같은 계산식을 따르게 된다. 따라서

- 결국 \( \int_{-\infty}^{\infty} \sigma^2 d\theta = 2\pi\theta^2 \) 이 되게 된다. 따라서 우리가 구하고자 했던 값 \( I = \sqrt{2\pi\theta^2} \) 이 최종적으로 만족시키게 된다.
- 결론적으로 앞에 있던 \( \frac{1}{\sqrt{2\pi\theta^2}} \) 와 없어지면서 정규화를 만족시키게 된다.
from numpy import random from scipy.stats import norm fig,ax = plt.subplots() x = np.linspace(-10,10) ax.plot(x,norm.pdf(x)) ax.set_title("Gaussian Distribution") ax.set_xlabel("x") ax.set_ylabel("pdf(x)") lx= np.arange(-10,0,0.01) ax.fill_between(px,norm.pdf(lx),alpha = 0.3, color = "g") rx= np.arange(0,10,0.01) ax.fill_between(rx,norm.pdf(rx),alpha = 0.3, color = "r") ax.text(-2,0.02,round(norm.cdf(x=0),1), fontsize = 15) ax.text(0.3,0.02,round(1-norm.cdf(x=0),1), fontsize = 15) plt.show()- 좌측과 우측에 Norm.cdf(x = ) 로 각 확률값을 표현하였다.

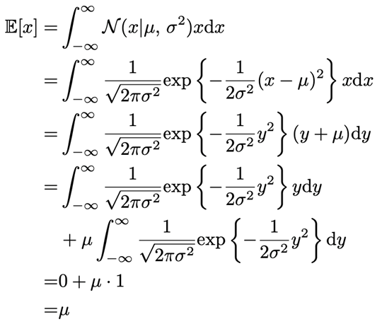
3. 정규분포의 기댓값( Expectation of Gaussian Distribution)
- 정규분포의 기댓값과 분산 은 다음과 같은 과정을 통해 우리가 알고 있던 \( u \) 와 \( \theta\) 가 나오는 것을 확인 가능하다.

정규분포의 기댓값 계산식 
정규분포의 분산 계산식 - 여기서 당연히 평균이랑 분산값을 \( u \) 와 \( \theta\) 로 했으니 같은 값나오는게 아니냐 하실텐데, 설정된 \( u \) 와 \( \theta\) 의 값을 정규분포(Gaussian Distribution) 에 넣고, 계산을 했을때,
- 즉, \( E[f] = \int_{}{} p(x)f(x) dx\) 를 하였을시, 기댓값이 \(u\) 그리고 표준편차가 \( \theta\) 가 나오는 것을 한번더 확인 한 것이다.
4. 정규분포의 최대 우도 해(Maximum Likelihood solution)
- 먼저 우도(Likelihood) 란? 나타난 결과에 따라 여러 가능한 가설들을 평가할 수 있는 측도(Measure)로써, 최대 우도해(Maximum Likelihood solution) 은 여러 가능한 가설중 일어날 가능성이 가장 큰 우도이다.
- 쉬운 예를 들자면, 동전을 앞뒤로 던지는 시뮬레이션을 할때, 앞면이 얼마에 한번 나오는지 모르는 상황이라고 하자. 그럴때, 시뮬레이션을 1000번 정도해서, 앞이 500번 뒤가 500번 나왔을때, 우리는 직감적으로 가설의 최대우도해 는 0.5,0.5 인 것을 알 수 있다.
- 그렇다면 HOW?? 어떻게 최대우도해를 구하나.?
- 해의 분포는 : 평균이 \( u_{ml} = \frac{1}{N} \sum_{n=1}^{N}x_{n} \) 그리고 표준편차가 \(\sigma_{ML}^{2} = \frac{1}{N}\sum_{n=1}^{N}(x_{n}-u_{ML})^2\) 을 만족시키게 되는 정규분포를 따른다.
- 이를 증명해보자.
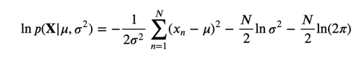
- 우선 \( X = (x_{1}, x_{2}, ... , x_{n})^{T} \) 의 독립적인 N개의 샘플들이 있고, 각 \( x_{1}, x_{2}, ... , x_{n} \) 의 샘플들이 가우시안 분포(= 정규분포) 로부터 추출되었다 하자.
- 4.1 최대 우도해의 평균(\( u_{ml} = \frac{1}{N} \sum_{n=1}^{N}x_{n} \)) 증명
- \(p(X|u,\sigma^{2}) = p(x_{1}, x_{2}, ... , x_{n}| u,\sigma^{2}) = \prod_{1}^{N} N(x|u,\sigma^{2}) \) 를 만족시키고,
- 이식에다가 \(ln \) 을 씌워주어서, 곱하기를 모두 더해주는 것으로 내려주면, 최종식은

- 다음과 같이 된다. 이때, 최대 우도해가 되려면 \( \frac{d}{du} ln p(X|u,\sigma^{2})\) 가 0이 될때 최대 값을 가지므로, 미분을 진행한 식은 다음과 같고,

- 여기서 \((\sum_{n=1}^{N}x_{n}) - Nu = 0\) 을 만족시키므로, 평균값 \( u_{ML} \)은 다음을 만족시킨다.

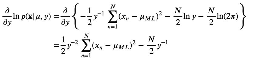
- 4.2 최대우도해의 분산(\(\sigma_{ML}^{2} = \frac{1}{N}\sum_{n=1}^{N}(x_{n}-u_{ML})^2\) )증명
- 앞서 말한 \(ln\) 으로 정리된 식을 다시 불러오면,

- 여기서 최대값을 가지는 우도해의 분산은 분산으로 미분해주었을때, 0이 되는 분산값을 구해주면 되고, 구하기에 앞서 \( y = \sigma^{2} \) 으로 치환해준다.
- \( y\) 으로 미분해주면 다음과 같이 되고,

- 여기서 \( \frac{1}{2}y^{-1} \) 을 빼주게 되어 정리해주면, 우리가 원하는 분산 \( \sigma^{2}\) 는 이렇게 정리된다.
반응형'머신러닝(MACHINE LEARNING) > 통계(Statistics)' 카테고리의 다른 글
역변환 방법( Inverse CDF Technique) (0) 2021.06.08