-
선형변환(Linear_Transformation) 이란?머신러닝(MACHINE LEARNING)/선형대수(Linear Algebra) 2021. 5. 3. 23:52반응형
1. 정의
-In mathematics, a linear map (also called a linear mapping, linear transformation, vector space homomorphism, or in some contexts linear function) is a mapping
between two vector spaces that preserves the operations of vector addition and scalar multiplication.
- 위키디피아에 정의된 내용은 다음과 같은데, 수식과 같이 표현하자면,

- 벡터 필드 K 내부에 U와 V 2개의 벡터공간이 있다고 해보자. 그렇다면, 식 F_matrix: V->W로 바꿔주는 F_matrix(행렬) 에 대해 F(C*U+D*V) = C*F(U) + D*F(V) 를 만족시킨다면, 선형변환이 된다고 정의한다.
= 즉 쉽게말하면, F=3*X+2*Y 라고 하고, 이 공간의 벡터필드 U = [1,2] 과 V = [3,5] 가 존재한다 했을 때, F[U+V] = F[[1,2]+[3,5]] = F[4,7] = 4*3+2*7 = 26 이 되고, F[U]+F[V] = F[[1,2]]+F[[3,5]] = 3*1+2*2+3*3+2*5 = 26 이 되서 F = 3*X+2*Y 가 다음과 같은 선형변환을 만족시키게 된다. 우리가 어렸을떄, 덧셈 뺄셈 했던거 다 선형변환의 일종이다.
단 !!!! 유의해야 할 점은 bias term이 있는 변환은 선형변환이 안된다.
ex) f(x,y) = 2*x+3*y+3 처럼 bias term 3이 있을때는, 선형변환이 성립하지 않는다.
하지만 ! 이 또한 특정한 변형을 통하여 선형변환으로 나타내줄 수 있다.
-다음은 선형변환의 몇가지 예시이다.
1) F(x,y) = (2x,y) 가 선형변환을 통해 (x,y) ->(2x,y) 로 변환

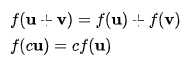
2) a+b = (a)+(b) 를 만족시킨 a,b 가 F(a+b) = F(a) + F(b) 를 통해 선형변환(linear_Transform)을 만족시킨다.

3) 선형변환을 만족시킬 때, F(c*a) = c*F(a) 를 만족시킨다.

2. 선형성의 특성
아까 선형변환(linear Transformation)을 만족시킬때, 선형변환은 곧 행렬로 표현될 수 있다 했는데, 이를 좀 더 엄밀히 살펴보자.
1. 𝑇 ∶ ℝ𝑛 → ℝ𝑚 (n차원 공간에서 m차원 공간으로 변환)인 선형변환을 가지는 T가 있다고 하면,
2. 그렇다면 T(x) 는 행렬-벡터 곱을 나타내는 꼴로 항상 나타낼 수 있다.(선형변환이므로) 즉. 밑의 식으로 나타내어진다.
𝑇 x = 𝐴x for all x ∈ ℝn
3. 그렇다면, A의 j 번째 벡터는 T(ej) 로 나타내어 지고, A 행렬의 j번째 coloumn 으로 표현된다.
따 라 서 𝐴 = [𝑇(e1) 𝑇(e2) ⋯ 𝑇(e𝑛)] 으로 표현이 가능하다.!
4. 따라서 A는 선형변환 T 를 만족시키는 행렬로 표현이 가능하다.
- 이 부분이 조금 헷갈릴 수 도 있는데, 그냥 선형변환 만족하면, 행렬로 표현가능하고, 그 행렬이 선형변환 T를 나타내는거다. 라고 이해하면 끝!
3. 선형변환 과 행렬의 관계 예시
위에서 봤듯이, 선형변환 T를 만족시키면 행렬 A로 표현가능하다 했는데, 이를 예제를 통해서 보자.

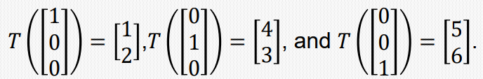
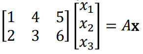
다음과 같이 3차원 벡터를 2차원으로 선형변환 해주는 T 가 있다 했을 때, 당연히 선형변환이 가능하므로, T(a)+T(b)+T(c) = T(a+b+c) 인데, 거기다가 고맙게도 [1,0,0]인 기저벡터이다. 따라서

를 만족시키게 되고 최종 식은

가 되게 되어 T라는 선형변환을 만족시키는 행렬 A 는 다음과 같게 된다.
- [x1,x2,x3] 의 3차원 벡터를 2차원으로 변형시켜주는 선형변환 T = A 가 최종결론이다.
4 . Ref.
-주재걸 교수님의 인공지능을 위한 선형대수
https://www.boostcourse.org/ai251/
인공지능을 위한 선형대수
부스트코스 무료 강의
www.boostcourse.org
반응형'머신러닝(MACHINE LEARNING) > 선형대수(Linear Algebra)' 카테고리의 다른 글
정사영 (orthogonal Projection) 이란? 그리고 Rasso의 이해 (0) 2021.05.05